水處理藥劑專業生産商
聯系我們
銷售熱線:0632-5113088
外貿電話:0632-5113066
公司傳真:0632-5113155
公司地址:山東省棗莊市市中區水處理劑産業園(十裏泉東路1号)
E-mail:th@thwater.com
外貿電話:0632-5113066
公司傳真:0632-5113155
公司地址:山東省棗莊市市中區水處理劑産業園(十裏泉東路1号)
E-mail:th@thwater.com
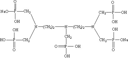
二乙烯三胺五甲叉膦酸鈉 DTPMP·Na2
Sodium salt of Diethylene Triamine Penta (Methylene Phosphonic Acid) (DTPMP•Na2)
CAS No.22042-96-2 分子式 C9H26O15N3P5Na2
結構式
一、性能與用途
DTPMP·Na2由DTPMP的不同形式鈉鹽組成,DTPMP·Na2可用作阻垢劑、高效螯合劑、優良的BaSO4阻垢劑,廣泛用于冷卻水處理、過氧化物漂白的穩定劑、洗滌助劑、市政工業清潔用水、地熱水處理、油田阻垢。
二、技術指标
| 項 目 | 指 标 |
| 外 觀 | 紅棕色透明液體 |
| 活性組分(以DTPMPA計)/% | 45.0~49.0 |
| 總磷(以PO43-計)/% | 37.0~40.0 |
| pH值(1%水溶液) | 2.0~3.0 |
| 密度(20℃)/g·cm-3 | 1.37~1.47 |
| 氯化物 (以Cl-計) /% | ≤5.0 |
| Fe含量(以Fe計) /mg·L-1 | ≤20.0 |
三、包裝與貯存
DTPMP·Na2用塑料桶包裝,每桶30kg 或250kg,也可根據用戶需要确定。貯于室内陰涼處,貯存期十個月。
四、安全防護
DTPMP·Na2爲弱酸性,操作時注意勞動保護,應避免與皮膚、眼睛等接觸,接觸後用大量清水沖洗。
