水處理藥劑專業生産商
聯系我們
銷售熱線:0632-5113088
外貿電話:0632-5113066
公司傳真:0632-5113155
公司地址:山東省棗莊市市中區水處理劑産業園(十裏泉東路1号)
E-mail:th@thwater.com
外貿電話:0632-5113066
公司傳真:0632-5113155
公司地址:山東省棗莊市市中區水處理劑産業園(十裏泉東路1号)
E-mail:th@thwater.com
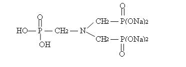
氨基三甲叉膦酸四鈉 ATMP·Na4
Tetra sodium salt of Amino Trimethylene Phosphonic Acid (ATMP•Na4)
别名:氨基三亞甲基膦酸四鈉
CAS No. 20592-85-2
分子式 C3H8NO9P3Na4 相對分子質量:387
結構式

一、性能與用途:
ATMP•Na4是ATMP的中性鈉鹽,可阻止水中成垢鹽類形成水垢,特别是碳酸鈣垢的形成。 ATMP•Na4适用于火力發電廠、煉油廠的循環冷卻水、油田回注水系統,反滲透膜的阻垢劑。ATMP•Na4對于其他一些添加劑也有很好的相容性。ATMP•Na4特别适用于中性到酸性配方中,無氨味産生。
二、技術指标
| 項 目 | 指 标 |
| HG/T 4328-2012 | |
| 外 觀 | 無色或淡黃色透明液體 |
| 活性組分(以ATMP計)/% | ≥30.0 |
| 活性組分(以ATMP·Na4計)/% | ≥38.8 |
| pH值(1%水溶液) | 6.0-8.0 |
| 密度(20℃)/g·cm-3 | 1.35~1.45 |
| Fe含量(以Fe計) /mg·L-1 | ≤10.0 |
| 氯化物 (以Cl-計) /% | ≤1.0 |
三、使用方法
ATMP•Na4與其它有機膦酸、聚羧酸或聚羧酸鹽等複配成有機堿性水處理劑,用于各種不同水質條件的循環冷卻水系統。
四、包裝與貯存
ATMP•Na4用塑料桶包裝,每桶30Kg 或250Kg,也可根據用戶需要确定。ATMP•Na4貯于室内陰涼處,貯存期十二個月。
五、安全防護
ATMP•Na4爲中性,操作時注意勞動保護,應避免與皮膚、眼睛等接觸,接觸後用大量清水沖洗。
